Министерство Юстиции Российской Федерации версия для слабовидящих
ПРИКАЗ Минюста РФ от 29.11.2011 N 412
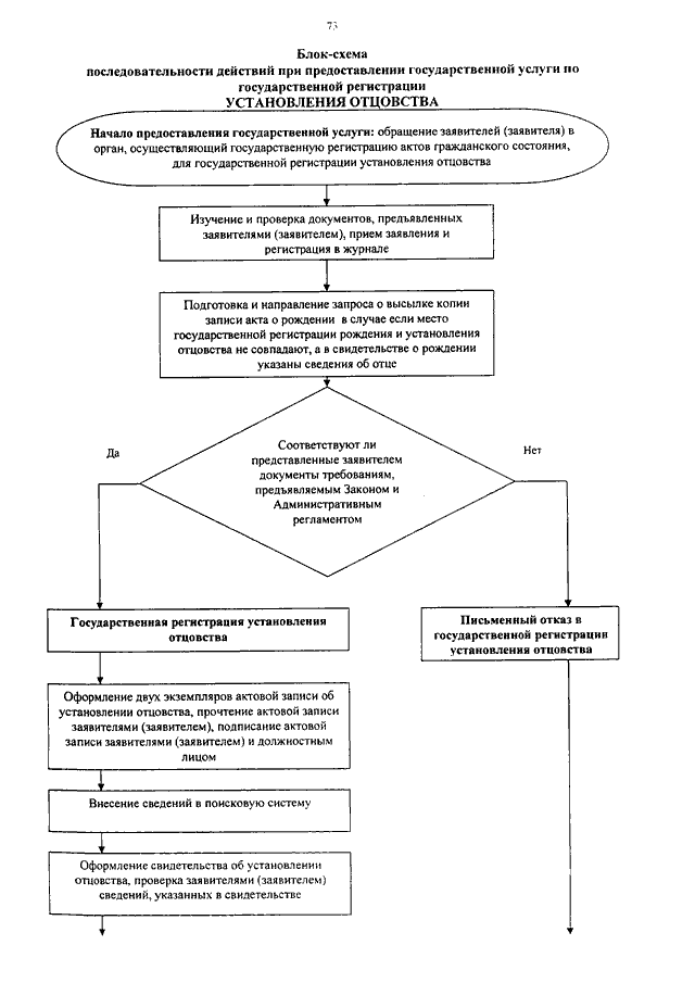
"ОБ УТВЕРЖДЕНИИ АДМИНИСТРАТИВНОГО РЕГЛАМЕНТА ПРЕДОСТАВЛЕНИЯ ГОСУДАРСТВЕННОЙ УСЛУГИ ПО ГОСУДАРСТВЕННОЙ РЕГИСТРАЦИИ АКТОВ ГРАЖДАНСКОГО СОСТОЯНИЯ ОРГАНАМИ, ОСУЩЕСТВЛЯЮЩИМИ ГОСУДАРСТВЕННУЮ РЕГИСТРАЦИЮ АКТОВ ГРАЖДАНСКОГО СОСТОЯНИЯ НА ТЕРРИТОРИИ РОССИЙСКОЙ ФЕДЕРАЦИИ"
(Зарегистрировано в Минюсте РФ 13.12.2011 N 22554)
Показывать страниц:
Для качественной печати: PDF-файл документа (5 Мб)
Страница 75 из 87