Министерство Юстиции Российской Федерации
версия для слабовидящих
ПРИКАЗ Минюста РФ от 12.11.2024 N 333
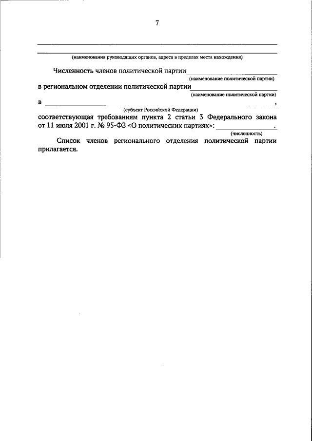
"ОБ УТВЕРЖДЕНИИ ОБРАЗЦОВ ДОКУМЕНТОВ, НЕОБХОДИМЫХ ДЛЯ ГОСУДАРСТВЕННОЙ РЕГИСТРАЦИИ ПОЛИТИЧЕСКОЙ ПАРТИИ И ЕЕ РЕГИОНАЛЬНОГО ОТДЕЛЕНИЯ"
(Зарегистрировано в Минюсте РФ 15.11.2024 N 80191)
Показывать страниц:
1
10
100
Для качественной печати:
PDF-файл документа (1 Мб)
<<
<
28
29
30
31
32
33
34
>
>>
Страница
33
из
34
<<
<
28
29
30
31
32
33
34
>
>>