Министерство Юстиции Российской Федерации версия для слабовидящих
ПРИКАЗ Минюста РФ от 25.07.2023 N 197
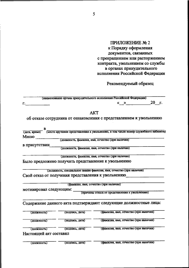
"ОБ УТВЕРЖДЕНИИ ПОРЯДКА ПРЕДСТАВЛЕНИЯ СОТРУДНИКОВ К УВОЛЬНЕНИЮ СО СЛУЖБЫ В ОРГАНАХ ПРИНУДИТЕЛЬНОГО ИСПОЛНЕНИЯ РОССИЙСКОЙ ФЕДЕРАЦИИ, ПОРЯДКА ОФОРМЛЕНИЯ ДОКУМЕНТОВ, СВЯЗАННЫХ С ПРЕВРАЩЕНИЕМ ИЛИ РАСТОРЖЕНИЕМ КОНТРАКТА, УВОЛЬНЕНИЕМ СО СЛУЖБЫ В ОРГАНАХ ПРИНУДИТЕЛЬНОГО ИСПОЛНЕНИЯ РОССИЙСКОЙ ФЕДЕРАЦИИ И ПОРЯДКА ВОЗМЕЩЕНИЯ СОТРУДНИКОМ ФЕДЕРАЛЬНОМУ ОРГАНУ ПРИНУДИТЕЛЬНОГО ИСПОЛНЕНИЯ СТОИМОСТИ ВЫДАННЫХ ЕМУ ПРЕДМЕТОВ ВЕЩЕВОГО ИМУЩЕСТВА ЛИЧНОГО ПОЛЬЗОВАНИЯ С УЧЕТОМ СРОКОВ НОСКИ"
(Зарегистрировано в Минюсте РФ 26.07.2023 N 74459)
Показывать страниц:
Для качественной печати: PDF-файл документа (826 Кб)
Страница 10 из 16