Министерство Юстиции Российской Федерации версия для слабовидящих
ПРИКАЗ Минюста РФ от 24.04.2019 N 83
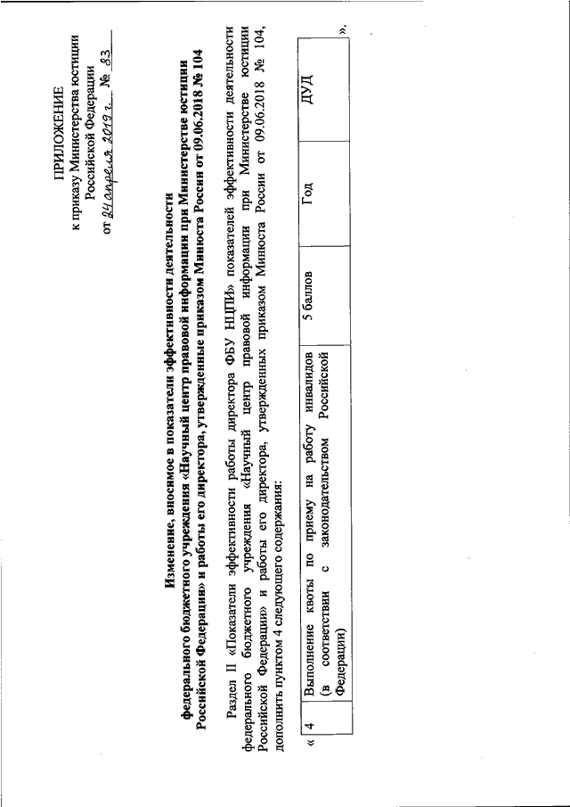
"О ВНЕСЕНИИ ИЗМЕНЕНИЯ В ПОКАЗАТЕЛИ ЭФФЕКТИВНОСТИ ДЕЯТЕЛЬНОСТИ ФЕДЕРАЛЬНОГО БЮДЖЕТНОГО УЧРЕЖДЕНИЯ "НАУЧНЫЙ ЦЕНТР ПРАВОВОЙ ИНФОРМАЦИИ ПРИ МИНИСТЕРСТВЕ ЮСТИЦИИ РОССИЙСКОЙ ФЕДЕРАЦИИ" И РАБОТЫ ЕГО ДИРЕКТОРА, УТВЕРЖДЕННЫЕ ПРИКАЗОМ МИНЮСТА РОССИИ ОТ 09.06.2018 N 104"
(Зарегистрировано в Минюсте РФ 07.05.2019 N 54578)
Показывать страниц:
Для качественной печати: PDF-файл документа (112 Кб)
Страница 2 из 2