Министерство Юстиции Российской Федерации
версия для слабовидящих
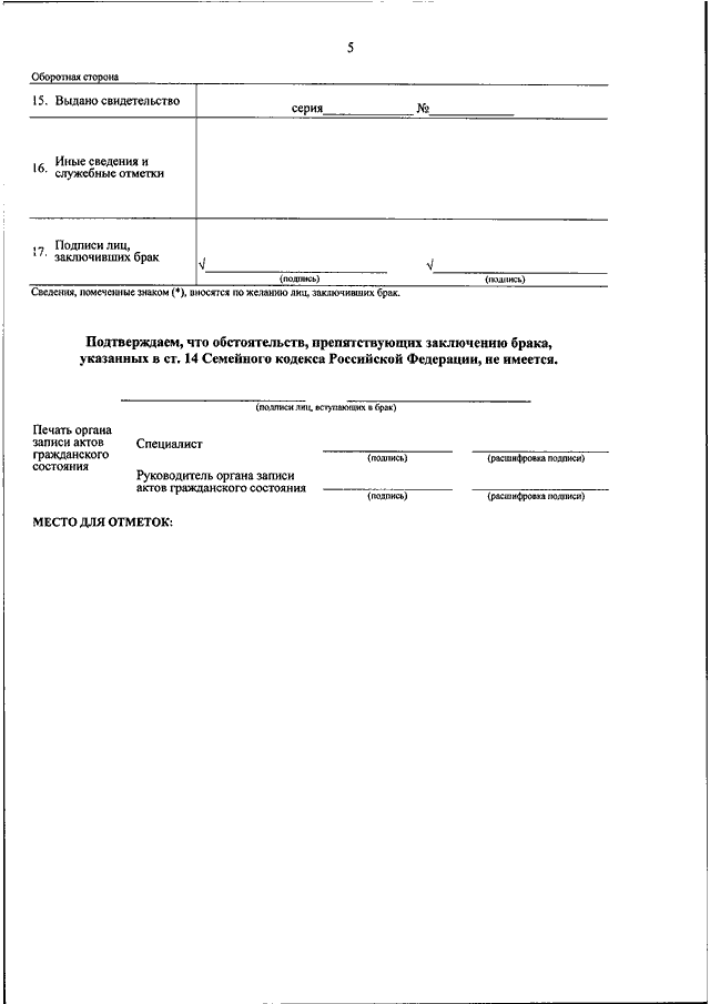
ПРИКАЗ Минюста РФ от 19.06.2018 N 123
"ОБ УТВЕРЖДЕНИИ ФОРМ БЛАНКОВ ЗАПИСЕЙ АКТОВ ГРАЖДАНСКОГО СОСТОЯНИЯ И ФОРМ БЛАНКОВ СВИДЕТЕЛЬСТВ О ГОСУДАРСТВЕННОЙ РЕГИСТРАЦИИ АКТОВ ГРАЖДАНСКОГО СОСТОЯНИЯ"
(Зарегистрировано в Минюсте РФ 29.06.2018 N 51484)
Показывать страниц:
1
10
100
Для качественной печати:
PDF-файл документа (607 Кб)
<<
<
2
3
4
5
6
7
8
9
10
11
12
>
>>
Страница
7
из
25
<<
<
2
3
4
5
6
7
8
9
10
11
12
>
>>