Министерство Юстиции Российской Федерации версия для слабовидящих
ПРИКАЗ Минюста РФ от 28.06.2021 N 107
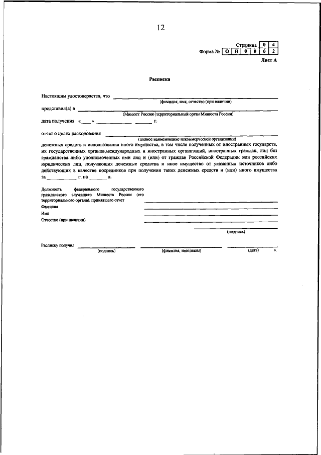
"О ВНЕСЕНИИ ИЗМЕНЕНИЙ В ПОРЯДОК ВЕДЕНИЯ РЕЕСТРА НЕКОММЕРЧЕСКИХ ОРГАНИЗАЦИЙ, ВЫПОЛНЯЮЩИХ ФУНКЦИИ ИНОСТРАННОГО АГЕНТА, УТВЕРЖДЕННЫЙ ПРИКАЗОМ МИНЮСТА РОССИИ ОТ 30.11.2012 N 223, И ПРИКАЗ МИНЮСТА РОССИИ ОТ 16.08.2018 N 170 "ОБ УТВЕРЖДЕНИИ ФОРМ ОТЧЕТНОСТИ НЕКОММЕРЧЕСКИХ ОРГАНИЗАЦИЙ"
(Зарегистрировано в Минюсте РФ 29.06.2021 N 64012)
Показывать страниц:
Для качественной печати: PDF-файл документа (2 Мб)
Страница 34 из 40