Министерство Юстиции Российской Федерации версия для слабовидящих
ПРИКАЗ Минюста РФ от 28.12.2016 N 322
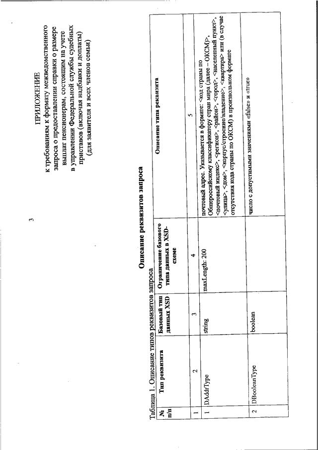
"ОБ ОПРЕДЕЛЕНИИ ТРЕБОВАНИЙ К ФОРМАТАМ ПРЕДОСТАВЛЕНИЯ ДОКУМЕНТОВ И СВЕДЕНИЙ, ПРЕДУСМОТРЕННЫХ ПУНКТАМИ 76 - 79, 81, 82 ПЕРЕЧНЯ ДОКУМЕНТОВ И СВЕДЕНИЙ, НАХОДЯЩИХСЯ В РАСПОРЯЖЕНИИ ОТДЕЛЬНЫХ ФЕДЕРАЛЬНЫХ ОРГАНОВ ИСПОЛНИТЕЛЬНОЙ ВЛАСТИ И НЕОБХОДИМЫХ ДЛЯ ПРЕДОСТАВЛЕНИЯ ГОСУДАРСТВЕННЫХ И МУНИЦИПАЛЬНЫХ УСЛУГ ИСПОЛНИТЕЛЬНЫМ ОРГАНАМ ГОСУДАРСТВЕННОЙ ВЛАСТИ СУБЪЕКТОВ РОССИЙСКОЙ ФЕДЕРАЦИИ И ОРГАНАМ МЕСТНОГО САМОУПРАВЛЕНИЯ, УТВЕРЖДЕННОГО РАСПОРЯЖЕНИЕМ ПРАВИТЕЛЬСТВА РОССИЙСКОЙ ФЕДЕРАЦИИ ОТ 01.11.2016 N 2326-Р"
(Зарегистрировано в Минюсте РФ 10.01.2017 N 45137)
Показывать страниц:
Для качественной печати: PDF-файл документа (1 Мб)
Страница 25 из 34