Министерство Юстиции Российской Федерации версия для слабовидящих
ПРИКАЗ Минюста РФ N 26, МВД РФ N 67, Следственного комитета РФ N 13, ФСБ РФ N 105, ФСКН РФ N 56 от 11.02.2016
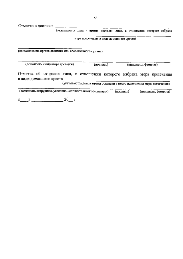
"ОБ УТВЕРЖДЕНИИ ПОРЯДКА ОСУЩЕСТВЛЕНИЯ КОНТРОЛЯ ЗА НАХОЖДЕНИЕМ ПОДОЗРЕВАЕМЫХ ИЛИ ОБВИНЯЕМЫХ В МЕСТЕ ИСПОЛНЕНИЯ МЕРЫ ПРЕСЕЧЕНИЯ В ВИДЕ ДОМАШНЕГО АРЕСТА И ЗА СОБЛЮДЕНИЕМ ИМИ НАЛОЖЕННЫХ СУДОМ ЗАПРЕТОВ И (ИЛИ) ОГРАНИЧЕНИЙ"
(Зарегистрировано в Минюсте РФ 22.03.2016 N 41497)
Показывать страниц:
Для качественной печати: PDF-файл документа (3 Мб)
Страница 60 из 62