Министерство Юстиции Российской Федерации версия для слабовидящих
ПРИКАЗ Минюста РФ от 23.04.2014 N 86
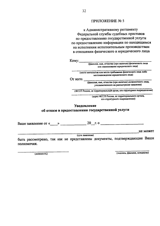
"ОБ УТВЕРЖДЕНИИ АДМИНИСТРАТИВНОГО РЕГЛАМЕНТА ФЕДЕРАЛЬНОЙ СЛУЖБЫ СУДЕБНЫХ ПРИСТАВОВ ПО ПРЕДОСТАВЛЕНИЮ ГОСУДАРСТВЕННОЙ УСЛУГИ ПО ПРЕДОСТАВЛЕНИЮ ИНФОРМАЦИИ ПО НАХОДЯЩИМСЯ НА ИСПОЛНЕНИИ ИСПОЛНИТЕЛЬНЫМ ПРОИЗВОДСТВАМ В ОТНОШЕНИИ ФИЗИЧЕСКОГО И ЮРИДИЧЕСКОГО ЛИЦА"
(Зарегистрировано в Минюсте РФ 27.06.2014 N 32887)
Показывать страниц:
Для качественной печати: PDF-файл документа (2 Мб)
Страница 34 из 35